The Message
Let me get the legal disclaimer out of the way – remember that it is a violation to transmit any coded message, or a message in any manner that is intended to obscure the meaning, on Amateur Radio (HAM), GMRS, FRS, MURS and even CB frequencies. For the specific rules see this page.
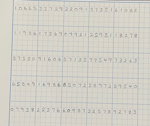
That being said, in Book 11 of Going Home the team sends a message back while they are observing the DHS element.
This is the message you receive (I go into how to create the message on another page as it is quite involved).

The One Time Pad (OTP)
The 1st 5 digits indicate the OTP – in this case 10665. The sender would have chosen one at random from a book, you will have a corresponding book of OTP’s. Once they send their message they will have destroyed that OTP.
You will need to look in your set and find the OTP that starts with the same set of numbers.

You then place the numbers below the numbers you received. BE CAREFUL NOT TO USE THE 1st 5 (you can write them in under the 1st 5 you received, but make sure you are clear that they are not part of the message.

The Math
You then add the numbers in base 10. That is where the number add up to 10 or more you only write down the last digit i.e. if the sum is 11 you write down 1, if the sum is 15 you write down 15. You don’t do anything with the first digit.

The Decoding
You are going to need two additional things to decode the message. One is the code book – a book that is used to take words or phrases and convert them to a 4-digit set of numbers. The main purpose is to shorten the number of digits for the word. A 5-letter word could take up to 10 digits to send it, plus two more to indicate a space (99 indicates a space or 91 for a period). A code word is 1 digit (0) to indicate what follows is a code word, then 4-digits for the word or phrase. As you know it is a code word there is usually no need to include the space (99) after the word. This can considerably shorten the message and can reduce errors in creating the coded message. In the example I didn’t have/use a codeword for MRAP. That took 9-digits to write out including the space characters. With a code word this could have been shortened to 5-digits. It’s now been added to my code book 🙂
Once you have the unencrypted message you then use the code book to translate the codewords and the checkerboard to translate letters and punctuation.

In this example I used a code word for end of message. This allows you to shorten the sent message by finishing with the number set, rather than adding “message ends” in the clear in your transmission. Part of communications security is transmission security – the longer you transmit the easier it is for someone to “DF” (direction find) your location. This is a hobby within ham radio that some folks do, called “fox hunting.”
You will also noticed that there is an “unused” zero at the end. You always complete out a block of 5-digits, so any left over when you create the message are zero’s.
Once you have decoded the message you should destroy the OTP that was used. You should also destroy any paper used to work out the message, i.e., you should use a new sheet to write out the completed message on if you are going to pass that message to someone in your group.
For a more in-depth information on communications security and using one time pads, including encryption, see this page.
Message Authentication
There are a number of different ways to authenticate a message. In book 11 an isogram is used.
An isogram is a word, usually with more than 10-letters, that does not have any repeating letters.
For more on the use of isograms for message authentication see this page.
Please consider supporting content by becoming a Patreon member. It costs $$ for web hosting etc.